4.2 In the n-gon, we can build (n – 3) diagonals from a vertex.
Proof!
Look at figure below.
Let. P1, P2 , … ,Pn be the vertices of the polygon as shown in the figure.
Take any vertex as the certain vertex, let it be Px.
The segments
build diagonals. So that there are 2 vertices those could not be connected from a chosen vertex, that is Px–1 , and Px+1 which are not build diagonals.
Obvious Px couldn’t make diagonal to itself.
Because of Px is any vertex, we conclude that the condition is suitable for all vertices.
So we can only build (n – 3) diagonal from a vertex in a n-gon.
Theorem!
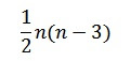
4.3 The sum of diagonal in a n-gon is
Proof!
From theorem 3.2 we get there are (n – 3) diagonal for every vertex in a n-gon.
Obvious
from P1 there are (n – 3) diagonals,
from P2 there are (n – 3) diagonals,
from P3 there are (n – 3) diagonals,
…
from Pn–1 there are (n – 3) diagonals, and
from Pn there are (n – 3) diagonals.
Take any Px vertex in n-gon given.
Obvious there are (n – 3) diagonal out from the vertex and also there are (n – 3) diagonal in from another vertices.
It means every vertex in a n-gon is being counted twice.
So that the sum of diagonal in a n-gon should be
These prove the theorem.Theorem!
4.4 The sum of exterior angle of a n-gon is 360o.
Proof!
We leave the proof as exercise.



No comments:
Post a Comment